Dieses Zahlendreieck sieht auf den ersten Blick eigentlich ziemlich unscheinbar aus. Es hat aber eine coole Funktion. Denn damit lassen sich zwei wichtige mathematische Formeln grafisch aufstellen und erklären!
Das Zahlendreieck wird Pascal'sches Dreieck genannt. Anhand dieses Aufbaus können die binomischen Formeln und der Binomialkoeffizient aufgestellt und veranschaulicht werden.
Pascal'sches Dreieck – einfach erklärt
Aber wie genau lässt sich dieses Dreieck überhaupt lesen? Und wie sollen anhand eines Zahlendreiecks Formeln erklärt werden? Dafür sollte das Schema des Pascal'schen Dreiecks erstmal durchdrungen werden.
In dem Pascal'schen Dreieck sind Zahlen in einem Schema angeordnet. Dabei sind die Zahlen in Dreiecksform angeordnet. Pro Zeile wird immer eine Zahl hinzugefügt. Die äußerste Reihe bildet in jeder Zeile die Zahl 1. Die Zahlen zwischen den Einsen sind das Ergebnis einer Addition aus den Zahlen der Zeile, die darüber liegt.
Es werden also Zahlen in den einzelnen Zeilen des Pascal'schen Dreieck miteinander addiert. Welche Zahlen genau miteinander addiert werden, ist ebenfalls festgelegt.
Pascal'sches Dreieck – Muster
Um sich mit diesem Schema bekannt zu machen, ist es sinnvoll, die Addition der Zeilen in einzelnen Schritten zu betrachten.

Abbildung 2: Addition im Pascal'schen Dreieck
In der Zeile 1 werden 1 und 1 miteinander addiert. Das ergibt 2. Die 1 in den äußersten Reihen bleibt in jeder Zeile bestehen. In der Zeile 2 werden 2 und 1 miteinander addiert. Das ergibt in der Zeile 3 die Zahl 3.
Da Du jede Zeile weiterhin nach diesem Muster addieren kannst, ist es möglich, unendlich viele Zeilen anzufügen.
Das Muster im Muster
Weil das Pascal'sche Dreieck durch dieses Rechenmuster eine Symmetrie aufweist, können darin einige coole Muster gefunden werden.
Ein Muster entsteht beispielsweise, wenn alle Zahlen, die durch 2 teilbar sind, also alle geraden Zahlen markiert werden. Dabei entsteht nämlich ein Muster, das so aussieht wie das sogenannte Sierpinski - Dreieck:
Ziemlich interessant, oder?
Pascal'sches Dreieck bis 10
Du weißt jetzt, dass das Pascal'sche Dreieck bis in die Unendlichkeit erweitert werden kann. Wie sieht das Pascal'sche Dreieck aus, wenn es bis Zeile 10 erweitert wird? Was sagst Du, wie groß ist dann die größte Zahl?
Du hast Dich in dem ersten Beispiel vielleicht gewundert, warum die zweite Zeile als Zeile 1 bezeichnet wurde. Im Pascal'schen Dreieck wird die erste Zeile, also die Zeile, in der die 1 alleine steht mit n = 0 beschriftet. Die erste Zeile ist also im Pascal'schen Dreieck die nullte Zeile. Deshalb wird die eigentlich zweite Zeile mit Zeile 1 beschrieben.

Abbildung 4: Pascal'sches Dreieck bis n = 10
Wie Du siehst, wird das Pascal'sche Dreieck um sieben Zeilen erweitert, um das Dreieck bis n = 10 aufzuziehen. Die größte Zahl liegt dabei in der letzten Zeile und beträgt 252.
Pascal'sches Dreieck – Anwendung und Formel
Wie oben schon angedeutet, kannst Du dieses Zahlendreieck zu dem Aufstellen von zwei mathematischen Formeln benutzen. Das sind die binomischen Formeln und der Binomialkoeffizient. Beides kannst Du mithilfe des Pascal'schen Dreiecks ablesen.
Pascal'sches Dreieck – binomische Formeln
Die wohl bekannteste binomische Formel ist . Sie ist Teil der 3 binomischen Formeln und bildet davon die erste binomische Formel.
Wenn Du Dir die anderen zwei der 3 binomischen Formeln anschauen möchtest, dann schau gerne in den Artikel Binomische Formeln rein!
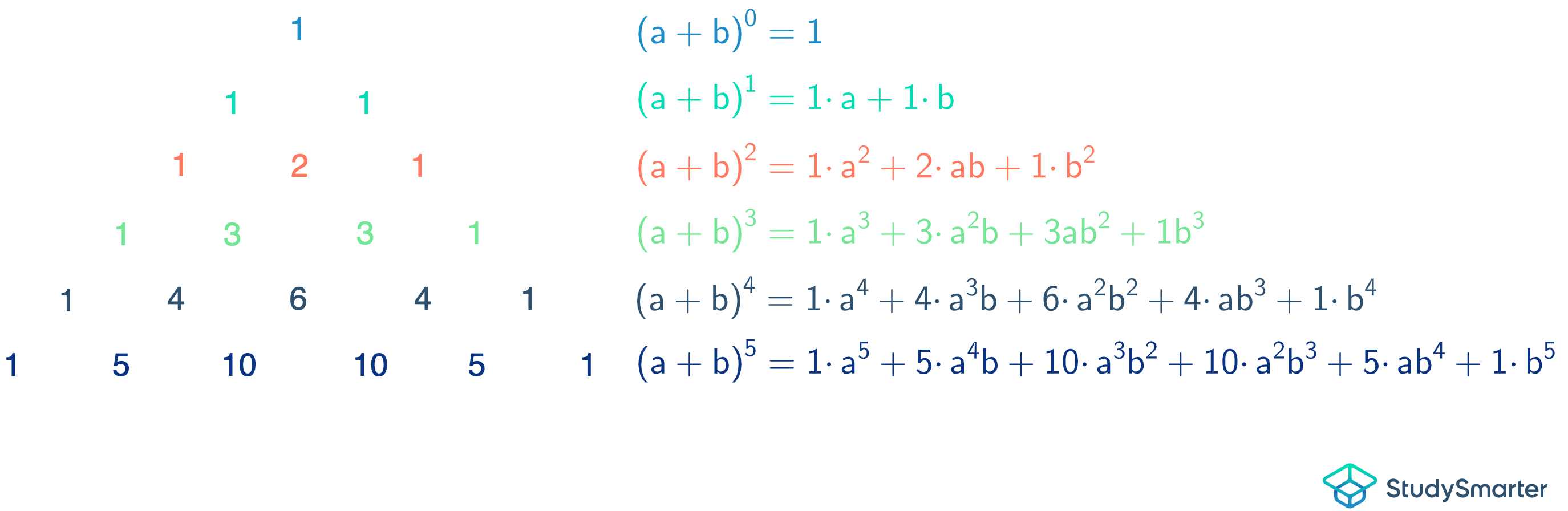
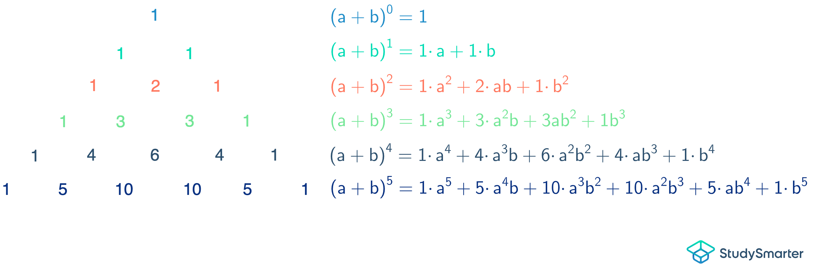
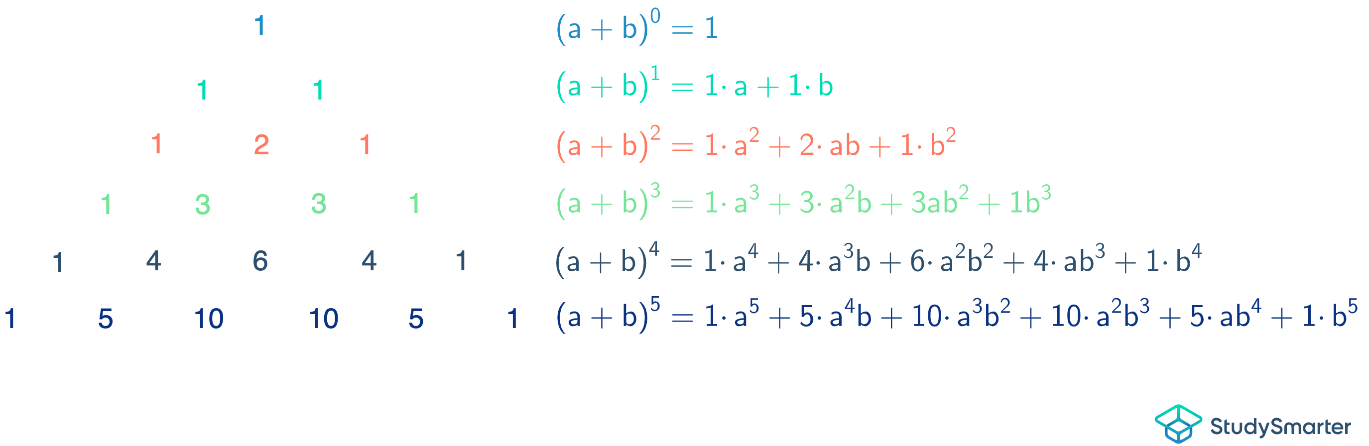
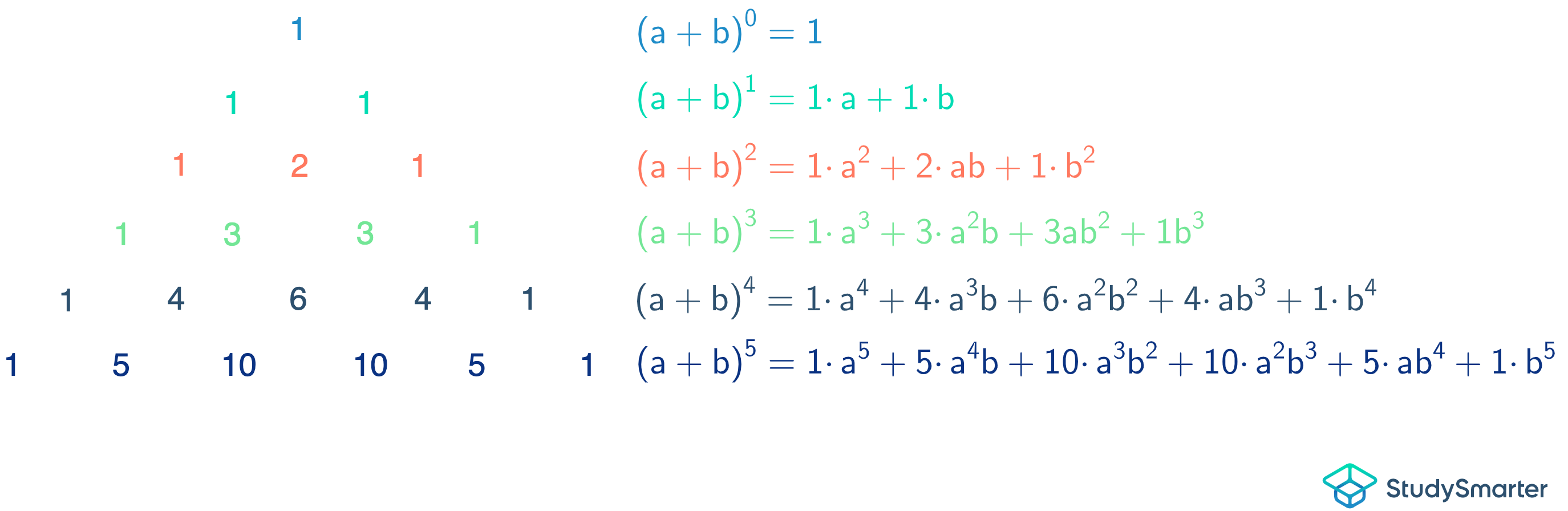
Diese Formel hat ihren Ursprung aus der Form . Für den Exponent wird - im Bezug auf das Pascal'sche Dreieck - der Wert der jeweiligen Zeile eingesetzt. Je größer die eingesetzte Zahl für , desto umfassender wird auch das Ausmultiplizieren der Klammer. Die Werte im Pascal'schen Dreieck schafft dabei Abhilfe.
Die erste Zeile des Pascal'schen Dreiecks wird als Zeile 0 nummeriert. Das heißt für die erste Zeile wird für die Zahl 0 eingesetzt.

Abbildung 5: binomische Formeln
Die Zahlen im Pascal'schen Dreieck geben nämlich die Koeffizienten an, die beim Ausmultiplizieren vor den Variablen a und b stehen.
In Summenschreibweise gilt die folgende allgemeine Formel:
Pascal'sches Dreieck – Binomialkoeffizient
Die zweite mathematische Formel, die Du mit mithilfe des Pascal'schen Dreiecks ermitteln kannst, ist der Binomialkoeffizient. Wenn Du Dein Wissen über den Binomialkoeffizient auffrischen möchtest, oder der Begriff dir nichts sagt, kannst Du gerne erstmal in die Definition reinschauen!
Der Binomialkoeffizient ist ein Begriff aus der Kombinatorik. Er gibt die Anzahl an Möglichkeiten an, Objekte aus einer Menge von Elementen auszuwählen. Dabei wird die Reihenfolge nicht berücksichtigt.
Die allgemeine Formel für den Binomialkoeffizient setzt sich aus der Fakultät geteilt durch die Fakultät zusammen.
Für den Binomialkoeffizient wird das Pascal'sche Dreieck nummeriert. Die Werte der Zeilen sind zugehörig und die Werte der Spalten sind zugehörig. Die Zeilen und Spalten beginnen beide mit 0.
Die Werte für verlaufen also horizontal, während die Werte für vertikal in dem Pascal'schen Dreieck verlaufen. Und wie sieht das jetzt in der Anwendung aus?
Stell Dir vor, Du sollst den Binomialkoeffizient mithilfe dem Pascal'schen Dreieck ermitteln.
Du hast den Wert für und gegeben. und . Also kannst du diese Werte jetzt in dem Zahlendreieck "ablaufen". Das Ergebnis für diesen Binomialkoeffizienten liegt in der Zeile 4 und in der Spalte 2.
Das Ergebnis für den Binomialkoeffizient ist also . Zur Überprüfung kannst Du die Werte nochmal in die in der Vertiefung aufgeführte Formel einsetzen oder in den Taschenrechner eingeben.
Binomialkoeffizient im Pascal'schen Dreieck – Erklärung
Was sagt das Ergebnis 6 im Bezug auf das Pascal'sche Dreieck aus?
Die 6 verrät, dass es insgesamt 6 Wege gibt, die über die einzelnen Zahlen zu der Zahl 6 führen. Das kannst Du Dir so vorstellen:
Das Gleiche gilt für alle Zahlen. Zur Zahl 4 gibt es 4 Wege, wenn Du von der Spitze des Dreiecks aus startest. Zur Zahl 5 gibt es 5 Wege, zur 10 gibt es 10 Wege und so weiter.
Pascal'sches Dreieck – Aufgaben
Jetzt bist Du dran! In den folgenden Aufgaben, kannst Du das Gelernte anwenden. Solltest Du nicht mehr weiterkommen oder irgendwo hängen, kannst Du gerne hochscrollen und Dir den Artikel nochmal anschauen.
Aufgabe 1:
Multipliziere die Formel mithilfe des Pascal'schen Dreieck's aus.
Lösung:
Die Formel kannst Du mit dem Pascal'schen Dreieck ausmultiplizieren. Da bei der Formel die Variable im Exponenten ist, schaust Du in die Zeile 4 in dem Pascal'schen Dreieck. Dort stehen die Koeffizienten, die Du zum ausmultiplizieren benötigst.

Abbildung 9: Pascal'sches Dreieck Aufgabe
Für Variable setzt Du dann ein. Das sieht dann so aus:
Aufgabe 2:
Gegeben ist der Binomialkoeffizient . Ermittle den Wert mithilfe des Pascal'schen Dreiecks.
Lösung: Erstmal erweiterst Du das Pascal'sche Dreieck um eine Zeile, da .
Danach läufst du Zeile 6 und Spalte 4 ab, bis Du zu dem Wert gelangst, an dem sich Zeile und Spalte treffen.
Das Ergebnis von dem Binomialkoeffizient . Zur Überprüfung kannst Du mit der Formel für den Binomialkoeffizient rechnen oder die Werte in den Taschenrechner eingeben:
Pascal'sches Dreieck – Das Wichtigste
- Das Pascal'sche Dreieck ist ein Zahlendreieck in Pyramidenform
- Es folgt einem bestimmten Schema
- Jede Zeile wird eine Zahl hinzugefügt
- Die Zahlen in der nächsten Reihe ergeben sich aus der Addition der Zahlen aus dieser Reihe
- Es kann unendlich erweitert werden
- In den äußeren Reihen steht immer die Zahl 1
- Die erste Zeile, in der die Zahl 1 alleine steht, wird als Zeile 0 bezeichnet
- Mithilfe des Pascal'schen Dreiecks kann das Ausmultiplizieren von binomischen Formeln vereinfacht werden
- Mithilfe des Pascal'schen Dreiecks kann der Binomialkoeffizient grafisch veranschaulicht und ermittelt werden