Eigenwerte - Was hat es damit auf sich?
Bevor wir uns mit der Berechnung von Eigenwerten beschäftigen, werden wir kurz auf die Frage eingehen, was unter Eigenwerte überhaupt zu verstehen ist.
Eigenvektoren und Eigenwerte
Das Multiplizieren von Matrizen kennen wir bereits aus der Matrizenrechnung. Falls dir die Grundlagen zur Multiplikation von Matrizen unklar sind, lies bitte im entsprechenden Kapitel noch einmal nach. Wir benötigen sie zum Verständnis und der Berechnung von Eigenwerten.
Wir wissen bereits, dass sich beim Multiplizieren einer Matrix mit einem Vektor als Ergebnis ein neuer Vektor ausrechnen lässt. Nachfolgend berechnen wir das Produkt aus einer Matrix A mit einem Vektor
und erhalten einen Vektor
.

Mithilfe des Falk-Schemas berechnen wir als Ergebnis der Multiplikation den Vektor
.

Der Ergebnisvektor
hat dabei im Gegensatz zum ursprünglichen Vektor die Länge und auch die Richtung verändert. Dies zeigt sich auch bei der graphischen Darstellung.

In einem weiteren Beispiel berechnen wir nochmal das Produkt aus einer Matrix A und einem anderen Vektor und zeichnen beide Vektoren wieder ein.

Diesmal ändert sich die Richtung des Ergebnisvektors im Gegensatz zum ursprünglichen Vektor nicht, sondern lediglich die Länge. Anders ausgedrückt könnten wir sagen, dass wir als Ergebnis der Multiplikation des Vektors mit der Matrix A ein Vielfaches des Vektors erhalten.
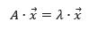
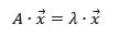
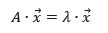
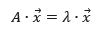
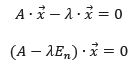
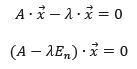
Der Vektor stellt dabei den sogenannten Eigenvektor dar. Die Richtung des Vektors wird durch die Multiplikation mit der Matrix nicht verändert, nur die Länge. Laut Definition kann der Eigenvektor aber kein Nullvektor sein. Der Vorfaktor (Vielfaches) wird als Eigenwert bezeichnet und ist gekennzeichnet durch . Damit kann folgende Gleichung formuliert werden, die als Eigenwertproblem bekannt ist.

Wir haben bereits festgestellt, dass der Vektor kein Nullvektor sein darf, sonst würde für jedes die Gleichung stimmen. Damit wir Lösungen dafür bekommen, lässt sich diese umformen, denn durch Multiplikation des Vektors mit einer Einheitsmatrix ändert sich der Vektor nicht.

Lösungen für das Problem ergeben sich dann, wenn die Determinante der Matrix gleich null ist, da sie keinen vollen Rang hat.
Kurz zur Wiederholung: Der Rang einer Matrix beschreibt, wie viele Zahlenreihen diese besitzt, die keine Nullzeilen sind.
Ein Beispiel wäre die folgende Matrix:

Diese Matrix A hätte einen Rang(A)=2, da zwei Zeilen keine Nullzeilen sind. Wenn der Rang nicht kleiner, sondern gleich der Zeilen- oder Spaltenanzahl ist, dann hat die Matrix A vollen Rang.
Für unsere Gleichung bedeutet dies, dass wir die Gleichung mithilfe der Determinante umschreiben. Wir erhalten also:

Demnach bekommen wir die Eigenwerte über die Berechnung der Nullstellen des sogenannten charakteristischen Polynoms.

Auf die Bedeutung dieser neuen Gleichung kommen wir später bei der Berechnung von Eigenwerten zurück.
Eigenschaften
Zunächst betrachten wir noch einige Eigenschaften zu den Eigenwerten.
Grundsätzlich können nur mit quadratischen Matrizen Eigenwerte und Eigenvektoren berechnet werden.
Wenn die Matrix symmetrisch ist, dann sind ihre Eigenwerte reell.
Der Eigenwert einer Matrix A ist ebenso ein Eigenwert der transponierten Matrix .
Damit haben wir alle wichtigen Grundlagen zu den Eigenwerten kennengelernt. Aber wie können wir sie nun berechnen?
Eigenwerte berechnen
Wir haben bereits wichtige Gleichungen zur Eigenwertberechnung hergeleitet. Diese lassen sich in einem Algorithmus zusammenfassen, mit dem sich diese lösen lassen. Anhand eines Beispiels werden wir im weiteren Verlauf den Algorithmus zur Berechnung von Eigenwerten anwenden.
Algorithmus
Eine beliebige quadratische Matrix A ist gegeben und für diese wollen wir die Eigenwerte berechnen. Dabei gehen wir wie folgt vor:
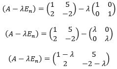
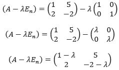
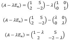
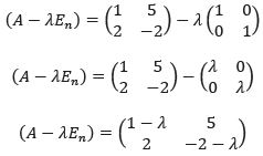
1. Matrix bilden 
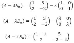
Mithilfe der Matrix A und der Einheitsmatrix wird zunächst eine Multiplikation mit und anschließend eine Subtraktion durchgeführt.
2. Charakteristisches Polynom 
Durch Berechnung der Determinante der gebildeten Matrix erhalten wir das charakteristische Polynom.
3. Nullstellen 
Die gesuchten Eigenwerte bestimmen wir nun durch die Berechnung der Nullstellen des Polynoms.
Nachfolgend wenden wir den Algorithmus für die Berechnung eines Beispiels an.
Berechnungsbeispiel
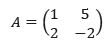
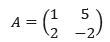
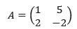
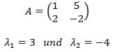
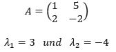
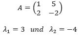
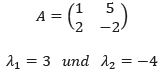
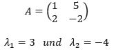
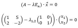
Gegeben ist die folgende Matrix A. Die Eigenwerte der Matrix sollen bestimmt werden.

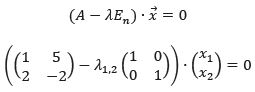
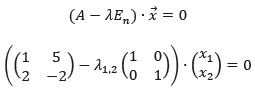
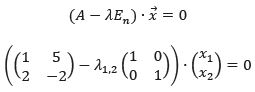
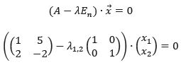
1. Matrix bilden 

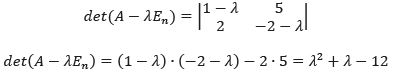
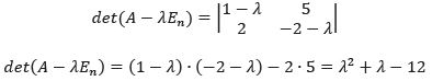
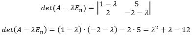
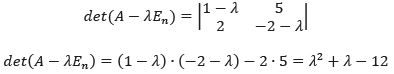
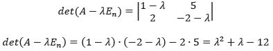
2. Charakteristisches Polynom 

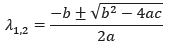
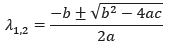
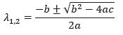
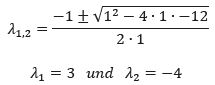
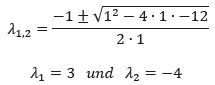
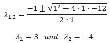
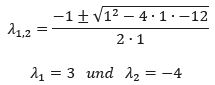
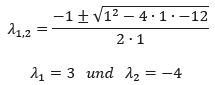
3. Nullstellen 

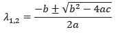
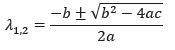
Die Nullstellen werden mithilfe der Mitternachtsformel berechnet.


Damit haben wir die zwei Eigenwerte der 2x2-Matrix bestimmt.
Grundsätzlich gibt es danach auch noch die Möglichkeit, die zugehörigen Eigenvektoren der Matrix A zu berechnen. Wir zeigen dafür kurz die Vorgehensweise.
Eigenvektoren
Die Eigenwerte der Matrix A haben wir bereits bestimmt.

Für die Berechnung der Eigenvektoren werden diese jeweils einzeln in die folgende Gleichung eingesetzt.

Anschließend ergibt sich durch Ausmultiplizieren ein Gleichungssystem, das beispielsweise mithilfe des Gleichsetzungsverfahren oder des Gauß-Algorithmus gelöst werden kann. Daraus erhalten wir die Eigenvektoren. Mehr zur Berechnung von Eigenvektoren findest du in einem separaten Artikel.
Somit haben wir alle wichtigen Grundlagen zu den Eigenwerten und deren Berechnung gelernt. Nachfolgend findest du noch eine kurze Übersicht mit den wichtigsten Informationen.