Geradlinige Bewegung – Was ist das überhaupt?
Bevor wir uns mit den zugehörigen Formeln und Berechnungen auseinandersetzen, wiederholen wir zunächst, was es mit den Begriffen "Bewegung" und "geradlinig" auf sich hat.
Allgemeine Bewegung
Die Mechanik beschäftigt sich in zwei Teilgebieten mit der Lehre von Bewegungen:
Dabei beschreiben kinematische Vorgänge mechanische Bewegungen ohne den Einfluss von Kräften. In der Dynamik dagegen werden die Ursachen von Bewegungen unter Betrachtung einwirkender Kräfte mit berücksichtigt. Wir beschäftigen uns daher bei dem Thema der geradlinigen Bewegung mit der Kinematik.
Um die Begriffe Bewegung und Ruhe überhaupt definieren zu können, wird zunächst ein Bezugssystem benötigt. Als Beispiel ziehen wir daher vereinfacht einen Fahrradweg heran. Auf diesem Weg befinden sich zwei Personen auf Fahrrädern, wie in der nachfolgenden Abbildung zu sehen ist. Bei der physikalischen Beschreibung der mechanischen Bewegungen wird ein Körper (in unserem Beispiel die Personen) vereinfacht als einzelner Punkt angesehen, ein sogenannter Massenpunkt, dessen Masse und Abmessungen für die Beschreibung der Bewegung vernachlässigt werden können.
Abbildung 1: Personen in Ruhe und in Bewegung
Ein in Ruhe befindlicher Körper (oder Massenpunkt) verändert seine Position über einen gewissen Zeitraum nicht. Die linke Person in der Abbildung steht mit dem Fahrrad noch an derselben Stelle und ist noch nicht losgefahren. Dementsprechend verändert sich bei einer Bewegung die Position des Körpers im entsprechenden Bezugssystem. Die rechte Person auf dem Fahrrad befindet sich also nicht mehr in Ruhe und fährt den Fahrradweg entlang.
Unser Beispiel zeigt damit eine eindimensionale Bewegung, bei der in einem Koordinatensystem allein die Koordinaten in horizontaler Richtung für die Positionsbeschreibung ausreichen. Ebenso sind Ortsveränderungen in mehreren Dimensionen möglich, daher müssen Bewegungen immer im abhängigen Bezugssystem betrachtet werden.
Abbildung 2: Bewegung in mehreren Dimensionen
Damit wäre bereits geklärt, wann sich ein Körper in Bewegung befindet. Aber was bedeutet nun eine geradlinige Bewegung?
Geradlinige Bewegung – Unterteilung & Beispiel
Bewegen wir uns beispielsweise mit dem Fahrrad von einem gewissen Punkt A bis zu einem Punkt B, so legen wir dabei eine Strecke zurück. Diese Strecke oder Bahn kann dabei verschiedene Formen annehmen:
Abbildung 3: Bahnformen
Eine geradlinige bzw. lineare Bewegung, oder auch Translationsbewegung, ist dadurch gekennzeichnet, dass sich der Körper während der gesamten Bewegung auf einer geraden Bahnkurve bewegt. Im Gegensatz dazu steht die Kreisbewegung, bei der ein Körper entlang einer Kreisbahn rotiert, weshalb sie auch als Rotationsbewegung bezeichnet wird. Krummlinige Bahnformen stellen einen Sonderfall dar und können in einzelne geradlinige Abschnitte unterteilt werden.
Bei einer geradlinigen Bewegung legt ein Körper also auf einer geraden Bahn eine bestimmte Strecke zurück. Grundsätzlich muss dabei aber noch die Unterteilung der verschiedenen Bewegungsarten berücksichtigt werden.

Abbildung 4: Unterteilung geradlinige Bewegung
Ein Körper bewegt sich bei einer geradlinigen gleichförmigen Bewegung auf einer geraden Bahn mit einer konstanten Geschwindigkeit ohne zu beschleunigen. Entsprechend ist eine geradlinige ungleichförmige Bewegung dadurch gekennzeichnet, dass sich der Betrag der Geschwindigkeit des Körpers während der Bewegung verändert. Ein Beispiel dafür wäre der freie Fall. Mehr zu diesem Beispiel findest du im Kapitel gleichmäßig beschleunigte Bewegung. Wir wollen uns im weiteren Verlauf auf die geradlinige gleichförmige Bewegung beschränken.
Berechnung geradliniger gleichförmiger Bewegungen
Müssen wir nun eine geradlinige gleichförmige Bewegung beschreiben und berechnen, so sind einige wichtigen Kenngrößen notwendig. Diese wurden bereits im Kapitel Mechanik besprochen; wir werden die relevanten Informationen kurz anhand eines Beispiels wiederholen. Die nachfolgende Abbildung zeigt wieder eine Person auf dem Fahrrad, die eine bestimmte Strecke
zurücklegen will. Dabei wird der Zeitraum
gemessen, die die Person für das Abfahren des Wegs benötigt.
Abbildung 5: Zeitmessung bei einer Bewegung
Weiterhin wird die Gesamtstrecke in mehrere gleiche Teilstrecken
zerlegt und ebenfalls die Zeiten
gemessen. Durch die Angabe der geradlinigen gleichförmigen Bewegung zeigen sich bei der Messung der Zeiten für die einzelnen Teilstrecken keine Differenzen. Die Person legt also die gleich langen Strecken
in den gleich langen Zeiträumen
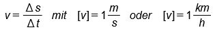
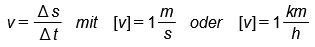
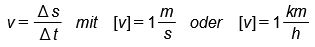
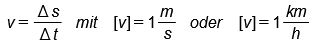
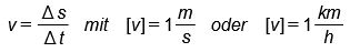
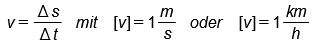
zurück. Dies bedeutet, dass sich die Person mit konstanter Geschwindigkeit bewegt, denn die mittlere Geschwindigkeit (Durchschnittgeschwindigkeit) v berechnet sich aus dem Quotient der zurückgelegten Strecke
und den dafür benötigten Zeitraum
.

Die Umrechnung von der Einheit
in die Einheit
erfolgt über die Multiplikation mit 3,6. Näheres dazu findest du in den Anwendungsbeispielen.
Für die Momentangeschwindigkeit zu einem bestimmten Zeitpunkt erhalten wir ebenfalls durch die Berechnung der nachfolgenden Gleichung.


Dies ist nichts anderes als die Ableitung der Strecke nach der Zeit. Gekennzeichnet wird die abgeleitete Komponente mit einem Punkt über dem Buchstaben. Näheres dazu findest du in separaten Kapiteln.
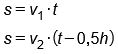
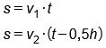
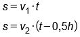
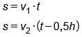
Durch Umstellen der Formeln erhalten wir für die Bewegung das Weg-Zeit-Gesetz:

Dieses Gesetz gilt jedoch nur für Bewegungen, die beim Start der Bewegung bei
beginnen. Sobald der Körper zum Startzeitpunkt bereits eine Anfangsstrecke
zurückgelegt hat, muss dies in der Formel berücksichtigt werden und es gilt:

Neben der Geschwindigkeit lässt sich noch die Beschleunigung als Kenngröße einer Bewegung nennen. Sie ist ein Maß für die Änderung der Geschwindigkeit mit der Zeit und berechnet sich aus dem Quotient der Geschwindigkeitänderung und der benötigten Zeit .

Zu einem bestimmten Zeitpunkt t lässt sich die ebenfalls die Momentanbeschleunigung ausrechnen und wir erhalten wieder durch Ableiten nach der Zeit:

Da wir bei einer geradlinigen gleichförmigen Bewegung keine Geschwindigskeitsänderung zu verzeichnen haben, ist die Beschleunigung in diesem Fall gleich null.

Damit haben wir bereits alle wichtigen Formeln für die Berechnung von Aufgaben zu geradlinigen gleichförmigen Bewegungen kennengelernt. Die Anwendung werden wir im weiteren Verlauf anhand von Beispielen üben. Zunächst beschäftigen wir uns noch mit der graphischen Darstellung der Kenngrößen.
Diagramme zur geradlinigen gleichförmigen Bewegung
In welchen Zusammenhang die verschiedenen Kenngrößen zueinander stehen, zeigt sich bereits durch die obigen Formeln. Zur besseren Veranschaulichung der Beziehung der einzelnen Größen werden oft Diagramme herangezogen. Dabei sind drei verschiedene Diagramme von Bedeutung.
Weg-Zeit-Diagramm (s-t-Diagramm)
Bei dem sogenannten Weg-Zeit-Diagramm werden die Werte gewisser Strecken s mit den zugehörigen Zeiten t in ein Diagramm eingezeichnet. Die x-Achse ist dabei die Zeitachse mit zugehöriger Einheit (zum Beispiel Sekunden) und über die y-Achse wird die Strecke s ebenfalls mit zugehöriger Einheit (zum Beispiel Meter) aufgetragen. Da durch die konstante Geschwindigkeit bei geradlinigen gleichförmigen Bewegungen eine direkte Proportionalität zwischen Strecke und Zeit herrscht, ist der entstehende Graph eine Gerade. Zu beachten ist dabei aber, ob eine Anfangsstrecke vorliegt oder nicht. Dementsprechend beginnt die Gerade bei der Anfangsstrecke oder im Ursprung. Die nachfolgende Abbildung zeigt eine schematische Darstellung des Weg-Zeit-Diagramms einer geradlinigen gleichförmigen Bewegung.
Abbildung 6: Weg-Zeit-Diagramm
Geschwindigkeit-Zeit-Diagramm (v-t-Diagramm)
Neben dem Auftragen der Messwerte von Strecke und Zeit, können zudem die Werte der Geschwindigkeit mit den zugehörigen Zeitpunkten in einem Diagramm dargestellt werden. Da die Geschwindigkeit bei einer geradlinigen gleichförmigen Bewegung konstant ist, ändern sich die Geschwindigkeitswerte zu den verschiedenen Zeiten nicht und es entsteht ein Graph in Form einer horizontalen Linie. Ob eine Anfangsstrecke vorhanden ist oder nicht, ist für den Graph im Geschwindigkeit-Zeit-Diagramm nicht relevant.

Abbildung 7: Geschwindigkeit-Zeit-Diagramm
Beschleunigung-Zeit-Diagramm (a-t-Diagramm)
Auch im Beschleunigung-Zeit-Diagramm wird die Zeit als x-Achse aufgetragen. Die Beschleunigungswerte sind damit in der y-Achse aufzuzeichnen. Durch das Hintergrundwissen zu gleichförmigen Bewegungen wissen wir bereits, dass keine Geschwindigkeitsänderung während der Bewegung stattfindet und somit keine Beschleunigung herrscht. Dementsprechend ist der Graph im Diagramm eine waagrechte Linie auf der x-Achse. Die Beschleunigungswerte sind ebenfalls nicht davon betroffen, ob eine Anfangsstrecke vorliegt oder nicht.
Abbildung 8: Beschleunigung-Zeit-Diagramm
Geradlinige Bewegung – Anwendungsbeispiele
Zur Übung und Anwendung zeigen wir die nachfolgend noch zwei Beispielaufgaben. Du kannst dabei gerne versuchen diese schon selbstständig zu lösen. In den zugehörigen Karteikarten findest du bei StudySmarter noch weitere Anwendungsaufgaben zum Üben.
Alle Informationen und Formeln für die Berechnung der Anwendungsbeispiele findest du im Artikel.
Geradlinige Bewegung – Beispiel 1
Ein Familie fährt mit ihrem Kleinbus in den Urlaub. Dabei fahren sie zunächst zwei Stunden lang mit einer konstanten Geschwindigkeit von 80 km/h über eine Landstraße. Danach legen sie die restliche Strecke von 60 km auf der Autobahn mit einer Geschwindigkeit von 130 km/h zurück.
a) Welche Strecke legt die Familie auf der Landstraße zurück?
b) Wie viele Kilometer fahren sie insgesamt bis zu ihrem Ziel?
c) Wie lange brauchen sie für die Strecke auf der Autobahn?
Lösung:
a) Auf der Landstraße fahren sie zwei Stunden lang mit einer Geschwindigkeit von 80 km/h.

b) Bis zum Ziel fahren sie zunächst auf der Landstraße und dann auf der Autobahn.

c) Die Strecke auf der Autobahn beträgt 60 km und diese legen sie mit einer Geschwindigkeit von 130 km/h zurück.

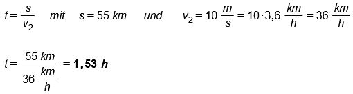
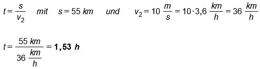
Geradlinige Bewegung – Beispiel 2
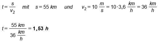
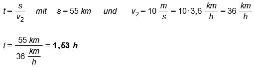
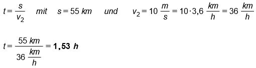
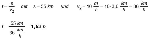
Zwei Autos stehen auf einem Parkplatz. Beide wollen zum nächstgelegenen Supermarkt in 55 km. Das Auto 1 startet und fährt die Strecke mit einer konstanten Geschwindigkeit von 25 km/h. Etwa 30 Minuten später fährt auch das Auto 2 los und hat dabei eine Geschwindigkeit von 10 m/s. Die Länge der Autos ist zu vernachlässigen.
a) Wie lange benötigt das Auto 2 für die Strecke (ohne Startzeit)?
b) Treffen sich die beiden Autos während der Fahrt zum Supermarkt und wenn ja, nach welcher Strecke?
Lösung:
a) Das Auto 2 fährt mit einer Geschwindigkeit von 10 m/s eine Strecke von 55 km.

b) Wenn sich beide Autos treffen, haben sie dieselbe Strecke s zurückgelegt und dieselbe Zeit t gebraucht. Daher lassen sich zwei Gleichungen aufstellen. Dabei muss jedoch berücksichtigt werden, dass das Auto 2 erst nach einer halben Stunde losfährt.

Durch Gleichsetzen erhalten wir eine Lösung für t, die wir anschließend in eine der beiden Gleichungen für s einsetzen.

Bitte beachte, dass beim Einsetzen mit gerundeten Zahlen kleine Abweichungen auftreten können. Zudem wäre es auch möglich Aufgaben dieser Art graphisch anhand eines s-t-Diagramms zu lösen.
Damit haben wir alle wichtigen Grundlagen zu geradlinigen Bewegungen kennengelernt. Anschließend findest du noch eine kurze Übersicht mit den wichtigsten Informationen.
Geradlinige Bewegung – Das Wichtigste
Ein Körper in Bewegung bedeutet eine Positionsveränderung des Körpers in einem Bezugssystem.
In der Mechanik wird ein Körper vereinfacht als Massepunkt dargestellt, dessen Abmaße für die Beschreibung der Bewegung vernachlässigbar sind.
Bewegungen können in mehreren Dimensionen betrachtet werden: Eindimensional, Zweidimensional (Ebene) und Dreidimensional (Raum)
Anhand der Bahnformenlassen sich Bewegungen unterscheiden in: Geradlinig (Translationsbewegung), Krummlinig, Kreisförmig (Rotationsbewegung)
Eine geradlinige Bewegung lässt sich nochmal unterteilen:
- geradlinig gleichförmig (v=konstant, a=0)
- geradlinig ungleichförmig
- Für die geradlinig gleichförmige Bewegung gelten folgende Formeln:
(ohne Anfangsstrecke)
(mit Anfangsstrecke)

Graphisch lassen sich die Beziehungen wie folgt darstellen:
Geradlinige Bewegung – Alles Wichtige auf einen Blick
- Ein Körper in Bewegung bedeutet eine Positionsveränderung des Körpers in einem Bezugssystem.
- In der Mechanik wird ein Körper vereinfacht als Massepunkt dargestellt, dessen Abmaße für die Beschreibung der Bewegung vernachlässigbar sind.
- Bewegungen können in mehreren Dimensionen betrachtet werden:
- Eindimensional
- Zweidimensional (Ebene)
- Dreidimensional (Raum)
- Anhand der Bahnformenlassen sich Bewegungen unterscheiden in:
- Geradlinig (Translationsbewegung)
- Krummlinig
- Kreisförmig (Rotationsbewegung)
- Eine geradlinige Bewegung lässt sich nochmal unterteilen:
- geradlinig gleichförmig (v=konstant, a=0)
- geradlinig ungleichförmig
- Für die geradlinig gleichförmige Bewegung gelten folgende Formeln:
(ohne Anfangsstrecke)
(mit Anfangsstrecke)

- Graphisch lassen sich die Beziehungen wie folgt darstellen:
Ähnliche Themen in Physik
Verwandte Themen zu Mechanik
Wie stellen wir sicher, dass unser Content korrekt und vertrauenswürdig ist?
Bei StudySmarter haben wir eine Lernplattform geschaffen, die Millionen von Studierende unterstützt. Lerne die Menschen kennen, die hart daran arbeiten, Fakten basierten Content zu liefern und sicherzustellen, dass er überprüft wird.
Content-Erstellungsprozess:
Lily Hulatt ist Digital Content Specialist mit über drei Jahren Erfahrung in Content-Strategie und Curriculum-Design. Sie hat 2022 ihren Doktortitel in Englischer Literatur an der Durham University erhalten, dort auch im Fachbereich Englische Studien unterrichtet und an verschiedenen Veröffentlichungen mitgewirkt. Lily ist Expertin für Englische Literatur, Englische Sprache, Geschichte und Philosophie.
Lerne Lily
kennen
Inhaltliche Qualität geprüft von:
Gabriel Freitas ist AI Engineer mit solider Erfahrung in Softwareentwicklung, maschinellen Lernalgorithmen und generativer KI, einschließlich Anwendungen großer Sprachmodelle (LLMs). Er hat Elektrotechnik an der Universität von São Paulo studiert und macht aktuell seinen MSc in Computertechnik an der Universität von Campinas mit Schwerpunkt auf maschinellem Lernen. Gabriel hat einen starken Hintergrund in Software-Engineering und hat an Projekten zu Computer Vision, Embedded AI und LLM-Anwendungen gearbeitet.
Lerne Gabriel
kennen